Aplicación de cambios de unidades 0001

, por F_y_Q

Si un ladrillo mide 1,5 pulgadas x 3 pulgadas x 6 pulgadas y tiene una masa de 28 onzas, ¿qué volumen total, en litros, ocuparán 45 kg de ladrillos?

P.-S.

1. Calculamos el volumen y lo convertimos a litros:

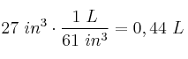
V = 1,5\cdot 3\cdot 6\ in^3 = 27\ in^3


27\ in^3\cdot \frac{1\ L}{61\ in^3} = 0,44\ L


2. Transformamos la masa en kg:

28\ oz\cdot \frac{1\ kg}{35,27\ oz} = 0,79\ kg


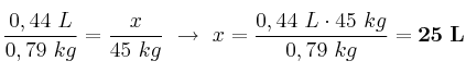
3. Hacemos la proporción entre ambas magnitudes y la comparamos con los 45 kg:

\frac{0,44\ L}{0,79\ kg} = \frac{x}{45\ kg}\ \to\ x = \frac{0,44\ L\cdot 45\ kg}{0,79\ kg} = \bf 25\ L