Análisis de la relación entre volumen y temperatura de un gas

, por F_y_Q

Una muestra gaseosa presenta un volumen de 5 L partiendo de un volumen inicial de 0,65 L cuando la temperatura sufre una variación desde 15^oC a 50^oC. ¿Es este volumen posible para ese gradiente de temperatura? Justifica tu respuesta mediante los cálculos correspondientes y enuncia la ley que usas para ello.

P.-S.

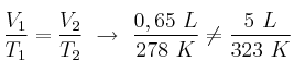
Si suponemos que la presión del sistema es constante podemos aplicar la Ley de Charles para ver si la variación del volumen propuesto es proporcional a la de la temperatura:
\frac{V_1}{T_1} = \frac{V_2}{T_2}\ \to\ \frac{0,65\ L}{278\ K} \not = \frac{5\ L}{323\ K}
En estas condiciones podemos afirmar que no es posible esa variación de volumen con ese gradiente de temperatura.
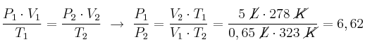
Si suponemos que la presión no es constante, y a partir de la Ley General de los Gases, podemos determinar cuál será la variación de la presión del sistema para que ocurra la variación de volumen que plantea el enunciado:
\frac{P_1\cdot V_1}{T_1} = \frac{P_2\cdot V_2}{T_2}\ \to\ \frac{P_1}{P_2} = \frac{V_2\cdot T_1}{V_1\cdot T_2} = \frac{5\ \cancel{L}\cdot 278\ \cancel{K}}{0,65\ \cancel{L}\cdot 323\ \cancel{K}} = 6,62
La varación de volumen propuesta se podría producir si la presión del sistema decreciera el factor calculado.