Ampliación: velocidad de una masa que está sujeta por dos resortes idénticos (7352)

, por F_y_Q

Una partícula de masa m=0.2 kg se une entre dos resortes idénticos, de longitud L=1.2 m, sobre la parte superior de una mesa horizontal sin fricción. Los dos resortes tienen la misma constante elástica k = 40\ \textstyle{N\over m} y cada uno está inicialmente en su posición de equilibrio. Si la partícula se separa una distancia d=0.5 m hacia la derecha y después se suelta, como indica la figura, ¿cuál es la velocidad cuando pasa por el punto O (posición de equilibrio)?

P.-S.

Como conoces los valores de L y d, el cálculo de la longitud final del muelle es simple de calcular porque dibujan un triángulo rectángulo:

L_f = \sqrt{L_0^2 + d^2} = \sqrt{(1.2^2 + 0.5^2)\ m^2} = \color[RGB]{0,112,192}{\bf 1.3\ m}

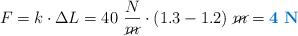
La elongación de cada resorte es la diferencia entre la longitud final y la inicial por lo que la fuerza de recuperación en cada uno es:

F = k\cdot \Delta L = 40\ \frac{N}{\cancel{m}}\cdot (1.3 - 1.2)\ \cancel{m} = \color[RGB]{0,112,192}{\bf 4\ N}

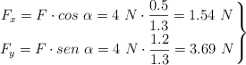
Esta fuerza tendrá componentes horizontal y vertical y es necesario calcularlas:

\left F_x = F\cdot cos\ \alpha = 4\ N\cdot \dfrac{0.5}{1.3} = 1.54\ N \atop F_y = F\cdot sen\ \alpha = 4\ N\cdot \dfrac{1.2}{1.3} = 3.69\ N \right \}

Las componentes verticales son iguales y de sentido contrario por lo que la suma es cero y solo queda componente horizontal, que será el doble del valor calculado:

F_T = 2F_x = 2\cdot 1.54\ N = \color[RGB]{0,112,192}{\bf 3.08\ N}

La aceleración a la que está sometida la partícula es:

F_T = m\cdot a\ \to\ a = \frac{F_T}{m} = \frac{3.08\ N}{0.2\ kg} = \color[RGB]{0,112,192}{\bm{15.4\ \frac{m}{s^2}}}

La partícula seguirá un movimiento uniformemente acelerado siendo la velocidad inicial nula:

v^2 = \cancelto{0}{v_0^2} + 2ad\ \to\ v = \sqrt{2\cdot 15.4\ \frac{m}{s^2}\cdot 0.5\ m} = \fbox{\color[RGB]{192,0,0}{\bm{3.92\ \frac{m}{s}}}}