Ampliación: valor de dos cargas que se atraen (7249)

, por F_y_Q

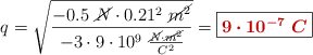
Se tiene dos esferas, una cargada negativamente con una carga -q y la segunda esfera con carga positiva y cuyo valor es el triple de la anterior, esto es +3q. Si la fuerza de atracción entre las dos esferas es 0.5 N y están separadas 21 cm, ¿cuál es el valor de la carga de cada esfera?

P.-S.

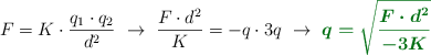
Si aplicas la ley de Coulomb con los datos de las cargas dados en el enunciado obtienes una ecuación en la que puedes despejar el valor de la carga:

F = K\cdot \frac{q_1\cdot q_2}{d^2}\ \to\ \frac{F\cdot d^2}{K} = -q\cdot 3q\ \to\ \color[RGB]{2,112,20}{\bm{q = \sqrt{\frac{F\cdot d^2}{-3K}}}}

Es necesario que tengas en cuenta que una fuerza de atracción entre cargas tiene signo negativo necesariamente porque se establece entre carga de distinto signo:

q = \sqrt{\frac{-0.5\ \cancel{N}\cdot 0.21^2\ \cancel{m^2}}{-3\cdot 9\cdot 10^9\ \frac{\cancel{N}\cdot \cancel{m^2}}{C^2}}} = \fbox{\color[RGB]{192,0,0}{\bm{9\cdot 10^{-7}\ C}}}