Ampliación: masa por diferencia, densidad y volumen de un recipiente (7527)

, por F_y_Q

Una vasija cilíndrica tiene una masa de 1 500 g cuando está vacía y si se llena de alcohol la masa cambia a 6 240 g.

a) Obtén la capacidad de la vasija, expresada en L, sabiendo que la densidad del alcohol es de 790\ \textstyle{kg\over m^3}.

b) Si la altura de la vasija es de 10.5 cm, calcula su diámetro, expresado en cm.

P.-S.

a) Lo primero que debes hacer es calcular la masa de alcohol que contiene la vasija y lo haces por diferencia entre la masa de la vasija llena y la vacía. Expresa las masas en kg porque la densidad viene dada en esa unidad:

m_a = (6.24 - 1.5)\ kg = \color[RGB]{0,112,192}{\bf 4.74\ kg}

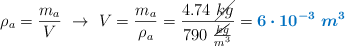
A partir de la expresión de la densidad, despejas el volumen y lo calculas:

\rho_a = \frac{m_a}{V}\ \to\ V = \frac{m_a}{\rho_a} = \frac{4.74\ \cancel{kg}}{790\ \frac{\cancel{kg}}{m^3}} = \color[RGB]{0,112,192}{\bm{6\cdot 10^{-3}\ m^3}}

Solo tienes que hacer la conversión para expresar el resultado en litros:

V = 6\cdot 10^{-3}\ \cancel{m^3}\cdot \frac{10^3\ L}{1\ \cancel{m^3}} = \fbox{\color[RGB]{192,0,0}{\bf 6\ L}}


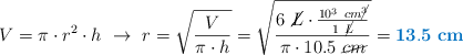
b) El radio de la vasija lo obtienes a partir de la expresión del volumen:

V = \pi\cdot r^2\cdot h\ \to\ r = \sqrt{\frac{V}{\pi\cdot h}} = \sqrt{\frac{6\ \cancel{L}\cdot \frac{10^3\ cm\cancel{^3}}{1\ \cancel{L}}}{\pi\cdot 10.5\ \cancel{cm}}} = \color[RGB]{0,112,192}{\bf 13.5\ cm}

El diámetro es el doble que el radio calculado:

D = 2r = \fbox{\color[RGB]{192,0,0}{\bf 27\ cm}}


Descarga el enunciado y la resolución del problema en formato EDICO si lo necesitas.