Ampliación: tiempo de vuelo de un objeto lanzado parabólicamente conocido el trabajo (6129)

, por F_y_Q

Al lanzar un cuerpo de 2 kg con un ángulo de 3 7^o con la horizontal, se realiza un trabajo de 225 J. ¿Cuál es el tiempo que el cuerpo está en el aire antes de volver a tocar el suelo?

P.-S.

El trabajo que se aplica para lanzar el cuerpo es igual a la variación de la energía cinética que experimenta. Como parte del reposo, puedes calcular la velocidad inicial del lanzamiento:

W = \Delta E_C = \frac{m}{2}v_0^2\ \to\ v_0 = \sqrt{\frac{2W}{m}} = \sqrt{\frac{2\cdot 225\ J}{2\ kg}} = \color[RGB]{0,112,192}{\bm{15\ \frac{m}{s}}}

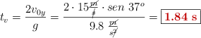
El tiempo que está en el aire es el doble del tiempo que tarda en subir y se puede expresar en función de la componente v _{0y} y de la aceleración de la gravedad:

t_v = \frac{2v_{0y}}{g} = \frac{2\cdot 15\frac{\cancel{m}}{\cancel{s}}\cdot sen\ 37^o}{9.8\ \frac{\cancel{m}}{s\cancel{^2}}} = \fbox{\color[RGB]{192,0,0}{\bf 1.84\ s}}