Ampliación: masa de producto para obtener una disolución de densidad y concentración determinadas (7956)

, por F_y_Q

¿Cuántos gramos de \ce{FeSO4(NH4)2SO4.6H2O}, cuyo peso molecular es 392.14 g/mol, se deben disolver y diluir hasta 250 mL para preparar una disolución acuosa de densidad 1.0 g/mL y 1 ppm (en peso) de \ce{Fe^{2+}}?

La masa atómica del Fe es 55.85.

P.-S.

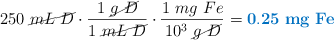
Necesitas un volumen final de disolución de 250 mL, que tenga una densidad de 1 g/mL, con una concentración 1 mg de catión por cada kg de disolución:

250\ \cancel{mL\ D}\cdot \frac{1\ \cancel{g\ D}}{1\ \cancel{mL\ D}}\cdot \frac{1\ mg\ Fe}{10^3\ \cancel{g\ D}} = \color[RGB]{0,112,192}{\bf 0.25\ mg\ Fe}

Cada mol de compuesto contiene un mol de \ce{Fe^{2+}} por lo que solo tienes que relacionar las masas molecular y atómica de ambas especies:

0.25\ \cancel{\ce{mg\ Fe^{2+}}}\cdot \frac{392.14\ \ce{mg\ FeSO4(NH4)SO4.6H2O}}{55.85\ \cancel{\ce{mg\ Fe^{2+}}}} = \fbox{\color[RGB]{192,0,0}{\textbf{1.75\ \ce{mg\ FeSO4(NH4)SO4.6H2O}}}}