Ampliación: lanzamiento oblicuo y MRUA con un desfase de tiempo (6578)

, por F_y_Q

Un cuerpo A es disparado desde una altura de dos metros desde el piso con una velocidad inicial de módulo 10 m/s formando un ángulo de 60 ^o con la horizontal. En el momento en que la velocidad del cuerpo A forma un ángulo de 30 ^o con la horizontal, parte del reposo el cuerpo B hacia la derecha (por el piso) con aceleración constante.

Halla la aceleración del cuerpo B de tal manera que intercepte a A cuando este llegue al piso.

P.-S.

Las componentes de la velocidad del cuerpo A son:

\left v_{xA} = v_0\cdot cos\ 60 = 10\cdot cos\ 60 = {\color[RGB]{0,112,192}{\bf{5\ (\textstyle{m\over s})}}} \atop v_{y0} = v_0\cdot sen\ 60 - gt = 10\cdot sen\ 60 - 9.8t = {\color[RGB]{0,112,192}{\bf{8.7 - 9.8t\ (\textstyle{m\over s})}}} \right

El ángulo de la velocidad lo puedes obtener si haces el cociente de las componentes. Si le impones la condición de que sea de 30 ^o:

tg\ 30 = \frac{v_{yA}}{v_{xA}}\ \to\ \color[RGB]{2,112,20}{\bm{0.58\cdot v_{xA} = v_{yA}}}

Sustituyes por los valores de las componentes:

2.9 = 8.7 - 9.8t\ \to\ \bf \color[RGB]{0,112,192}{\bf t = 0.59\ s}

El cuerpo B empezará a moverse 0.59 s después de iniciar el movimiento el cuerpo A.
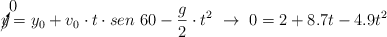
Se encontrarán ambos cuerpos cuando la posición horizontal del cuerpo B sea la misma que la posición horizontal del cuerpo A. Para poder saber qué tiempo tarda el cuerpo A en llegar al suelo, debes imponer la condición de que la posición vertical de A sea cero:

\cancelto{0}{y} = y_0 + v_0\cdot t\cdot sen\ 60 - \frac{g}{2}\cdot t^2\ \to\ 0 = 2 + 8.7t - 4.9t^2

Resolviendo la ecuación de segundo grado obtienes que \color[RGB]{0,112,192}{\bf t = 1.98\ s}}} .
Las ecuaciones de las posiciones horizontales de A y B son:

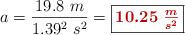
\left x_B = 5t \atop x_A = \frac{a}{2}\cdot (t - 0.59)^2 \right \}

a = \frac{19.8\ m}{1.39^2\ s^2} = \fbox{\color[RGB]{192,0,0}{\bm{10.25\ \frac{m}{s^2}}}}