Ampliación: equilibrio de tres cuerpos idénticos colocados uno encima de otro en el borde de una mesa (6042)

, por F_y_Q

Los tres bloques de densidad uniforme y longitud 18 cm, se colocaron uno sobre el otro, en el borde de una superficie horizontal, sobresaliendo lo máximo posible y manteniendo el equilibrio. Halla la distancia horizontal x indicada en la figura:

P.-S.

Como los tres cuerpos son iguales y homogéneos, puedes analizar la situación de equilibrio de uno de ellos y aplicarla a los tres.

El primero de los cuerpos podría descansar sobre la superficie horizontal en equilibrio si estuviese la mitad de él en suspensión, es decir, haciendo coincidir su centro de masas con el borde de la superficie. El hecho de colocar otro cuerpo que sobresale de él implica que ese equilibrio se desharía y caerían ambos bloques. Para evitar esto, habría que corregir la posición del primer bloque, desplazando el centro de masas una distancia d hacia dentro de la superficie horizontal. Te quedaría entonces, aplicando la condición de equilibrio:

\left(\frac{L}{2} - d\right)\cdot \cancel{m}\cdot \cancel{g} = d\cdot \cancel{m}\cdot \cancel{g}\ \to\ L - 2d = 2d\ \to\ \color[RGB]{2,112,20}{\bm{d = \frac{L}{4}}}

Si extrapolas el análisis a los tres bloques, la distancia x que debes calcular será:

x = \left(\frac{L}{2} - d\right) + \left(\frac{L}{2} - d\right) + \frac{L}{2}\ \to\ \color[RGB]{2,112,20}{\bm{x = \frac{3L}{2} - 2d}}

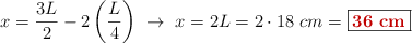
Solo tienes que sustituir en esta ecuación por el valor de la d que has obtenido de la condición de equilibrio:

x = \frac{3L}{2} - 2\left(\frac{L}{4}\right)\ \to\ x = 2L = 2\cdot 18\ cm = \fbox{\color[RGB]{192,0,0}{\bf 36\ cm}}