Ampliación: cinemática, choque inelástico y energía (6306)

, por F_y_Q

Se dispara un proyectil de 20 g contra un bloque de 2.5 kg que se encuentra en reposo en una mesa de 1 m de altura. El coeficiente de rozamiento entre el bloque y la mesa es 0.3. El proyectil se incrusta dentro del bloque y, después del impacto, el bloque se desplaza 10 cm sobre la mesa antes de caer y aterrizar a una distancia de 2 m de la parte inferior de la mesa. Determina la rapidez de la bala.

P.-S.

Debes dividir el problema en varias partes para hacer un desarrollo ordenado.

Choque inelástico entre proyectil y bloque.

Como el bloque está en reposo puedes escribir la condición de que tiene que conservarse la cantidad de movimiento del sistema y despejar el valor de la velocidad del proyectil en función de la velocidad del conjunto:

m_p\cdot v_p + m_b\cdot \cancelto{0}{v_b} = (m_p + m_b)\cdot v_C\ \to\ \color[RGB]{2,112,20}{\bm{v_p = \frac{(m_p + m_b)\cdot v_C}{m_p}}}

Cálculo de la energía disipada por rozamiento entre el conjunto y la mesa.

El trabajo de rozamiento lo puedes determinar porque conoces el peso del conjunto, el coeficiente de rozamiento y la distancia durante la que roza con la mesa:

W_R = (m_b + m_p)\cdot g\cdot \mu\cdot d = (2.5 + 0.02)\ kg\cdot 9.8\ \frac{m}{s^2}\cdot 0.3\cdot 0.1\ m = \color[RGB]{0,112,192}{\bf 0.74\ J}

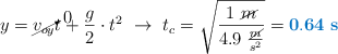
Velocidad con la que abandona la mesa y cae al suelo el conjunto.

Se trata de un lanzamiento horizontal en el que la altura es de 1 m. El tiempo de caída lo obtienes con la ecuación de la posición vertical:

y = \cancelto{0}{v_{oy}}t + \frac{g}{2}\cdot t^2\ \to\ t_c = \sqrt{\frac{1\ \cancel{m}}{4.9\ \frac{\cancel{m}}{s^2}}} = \color[RGB]{0,112,192}{\bf 0.64\ s}

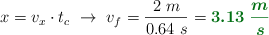
Como el conjunto cae a 2 m de la base de la mesa, obtienes la velocidad con la que abandona la mesa con la ecuación de la posición horizontal:

x = v_x\cdot t_c\ \to\ v_f = \frac{2\ m}{0.64\ s} = \color[RGB]{2,112,20}{\bm{3.13\ \frac{m}{s}}}

Energía cinética del conjunto tras el impacto del proyectil.

E_C(C) = E_C(f) + W_R = \frac{(m_b + m_p)}{2}\cdot v_f^2 + W_R

E_C(C) = \frac{(2.25 + 0.02)\ kg}{2}\cdot 3.13^2\ \frac{m^2}{s^2} + 0.74\ J = 11.8\ J

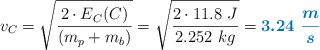
Velocidad del conjunto tras el impacto del proyectil.

Como conoces la energía cinética solo tienes que despejar el valor de la velocidad:

v_C = \sqrt{\frac{2\cdot E_C(C)}{(m_p + m_b)}}} = \sqrt{\frac{2\cdot 11.8\ J}{2.252\ kg}} = \color[RGB]{0,112,192}{\bm{3.24\ \frac{m}{s}}}

Cálculo de la velocidad del proyectil.

A partir de la primera ecuación que está pintada en naranja puedes calcular la velocidad con la que impacta el proyectil en el bloque:

v_p = \frac{(m_p + m_b)\cdot v_C}{m_p} = \frac{2.252\ \cancel{kg}\cdot 3.24\ \frac{m}{s}}{0.02\ \cancel{kg}} = \fbox{\color[RGB]{192,0,0}{\bm{365\ \frac{m}{s}}}}