Ampliación: análisis del movimiento de una pelota lanzada por un pasajero de un tren en movimiento (6010)

, por F_y_Q

Un hombre sobre un vagón abierto de ferrocarril que viaja con rapidez constante de 9.10\ \textstyle{m\over s} , quiere lanzar una pelota a través de un aro estacionario a 4.90 m sobre la altura de la mano, de modo que la bola se mueva horizontalmente al pasar por el aro. El hombre lanza la bola con una rapidez de 10.8\ \textstyle{m\over s} con respecto a sí mismo:

a) ¿Qué componente vertical debe tener la velocidad inicial de la bola?

b) ¿Cuántos segundos después del lanzamiento la bola atravesará el aro?

c) ¿A qué distancia horizontal del aro se deberá soltar la bola?

d) Cuando la pelota sale de la mano del hombre, ¿qué dirección tiene su velocidad relativa al marco de referencia del vagón? ¿Y relativa al marco de referencia de un observador parado en el suelo?

P.-S.

a) El lanzamiento que hace el hombre es un lanzamiento oblicuo con un ángulo que llamaremos  \alpha. La componente vertical inicial será:

v_{0y} = v_0\cdot sen\  \alpha

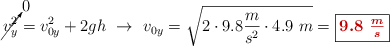
Para poder calcular la componente vertical inicial tendremos en cuenta que a los 4.9 m de altura la componente vertical debe ser nula:

\cancelto{0}{v_y^2} = v_{0y}^2 + 2gh\ \to\ v_{0y} = \sqrt{2\cdot 9.8\frac{m}{s^2}\cdot 4.9\ m} = \fbox{\color[RGB]{192,0,0}{\bm{9.8\ \frac{m}{s}}}}


Aprovechamos para determinar el ángulo del lanzamiento, que nos hará falta más adelante:

sen\ \alpha = \frac{v_{0y}}{v_0}\ \to\ \alpha = arcsen\ \frac{9.8}{10.8} = \color[RGB]{0,112,192}{\bm{65.15^o}}

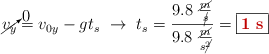
b) Seguimos imponiendo la condición de que la componente vertical sea cero en el momento en el que la pelota atraviese el aro y obtenemos el tiempo de subida de la pelota:

\cancelto{0}{v_y} = v_{0y} -gt_s\ \to\ t_s = \frac{9.8\ \frac{\cancel{m}}{\cancel{s}}}{9.8\ \frac{\cancel{m}}{s\cancel{^2}}} = \fbox{\color[RGB]{192,0,0}{\bf 1\ s}}


c) Calculamos ahora la componente horizontal de la velocidad de la pelota, que será la suma de la componente horizontal del lanzamiento y la velocidad del tren:

v_x = v_{0x} + v_t = v_0\cdot cos\ \alpha + v_t = (10.8\cdot cos\ 65.15 + 9.1)\ \frac{m}{s} = \color[RGB]{2,112,20}{\bm{13.64\ \frac{m}{s}}}

Como el tiempo que estará subiendo hasta llegar al aro es de 1 s, la distancia a la que habrá que lanzar la pelota es:

x = v_x\cdot t_s = 13.64\ \frac{m}{\cancel{s}}\cdot 1\ \cancel{s} = \fbox{\color[RGB]{192,0,0}{\bf 13.64\ m}}


d) Con respecto de la mano el ángulo es el que calculamos en el apartado a), es decir, \fbox{\color[RGB]{192,0,0}{\bm{\alpha = 65.15^o}}}.

Con respecto al suelo de la estación podemos obtener la dirección a partir de las componentes x e y de la velocidad:

tg\ \theta = \frac{v_0y}{v_x}\ \to\ arctg\ \frac{9.8}{13.64} = \fbox{\color[RGB]{192,0,0}{\bm{35.7^o}}}