Altura a la que debe estar un objeto para tener cierta energía potencial (6291)

, por F_y_Q

Calcula la altura a la que debe estar un objeto de masa 840 kg para que su energía potencial sea de 34 354 J.

P.-S.

A partir de la ecuación de la energía potencial gravitatoria solo tienes que despejar el valor de la altura y sustituir los datos para calcularla:

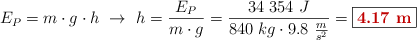
E_P = m\cdot g\cdot h\ \to\ h = \frac{E_P}{m\cdot g} = \frac{34\ 354\ J}{840\ kg\cdot 9.8\ \frac{m}{s^2}} = \fbox{\color[RGB]{192,0,0}{\bf 4.17\ m}}


Descarga el enunciado y la resolución del problema en formato EDICO si lo necesitas.