Aceleración y distancia de frenado de un vehículo (5028)

, por F_y_Q

En una prueba de frenado, un vehículo que viaja a 60 km/h se detiene en un tiempo de 3 s. ¿Cuáles son su aceleración y su distancia de frenado?

P.-S.

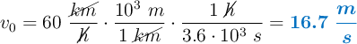
La velocidad inicial del vehículo, expresada en unidades SI, es:

v_0 = 60\ \frac{\cancel{km}}{\cancel{h}}\cdot \frac{10^3\ m}{1\ \cancel{km}}\cdot \frac{1\ \cancel{h}}{3.6\cdot 10^3\ s} = \color[RGB]{0,112,192}{\bm{16.7\ \frac{m}{s}}}

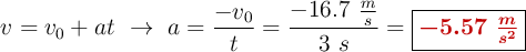
La aceleración de frenado la puedes calcular si consideras que su velocidad final es cero para los 3 s:

v = v_0 + at\ \to\ a = \frac{-v_0}{t} = \frac{-16.7\ \frac{m}{s}}{3\ s} = \fbox{\color[RGB]{192,0,0}{\bm{-5.57\ \frac{m}{s^2}}}}


La distancia recorrida la obtienes a partir de la ecuación:

d = v_0t + \frac{1}{2}at^2 = 16.7\ \frac{m}{\cancel{s}}\cdot 3\ \cancel{s} - \frac{5.57}{2}\cdot \frac{m}{\cancel{s^2}}\cdot 3^2\ \cancel{s^2} = \fbox{\color[RGB]{192,0,0}{\bf 25\ m}}