Aceleración que adquiere un cuerpo y velocidad final cuando se le aplica una fuerza y roza (5278)

, por F_y_Q

Sobre un cuerpo de 3.5 kg se aplica una fuerza de 40 N en dirección paralela a la superficie sobre la que apoya y sentido hacia la derecha. Sabiendo que la fuerza con la que roza es de 5.85 N, ¿cuál es la aceleración del cuerpo? ¿Qué velocidad tendrá el objeto 1.5 s después si partió del reposo?

P.-S.

La fuerza resultante sobre el objeto tiene que ser la suma vectorial de la fuerza aplicada y la fuerza de rozamiento, que siempre se opone al movimiento:

\vec F_T = \vec F - \vec F_R\ \to\ F_T = (40 - 5.85)\ N = \color[RGB]{0,112,192}{\bf 34.15\ N}

Aplicando la segunda ley de Newton, puedes calcular la aceleración que adquiere el cuerpo:

F_T = m\cdot a\ \to\ {\color[RGB]{2,112,20}{\bm{a = \frac{F_T}{m}}}} = \frac{34.15\ N}{3.5\ kg} = \fbox{\color[RGB]{192,0,0}{\bm{9.78\ m\cdot s^{-2}}}}


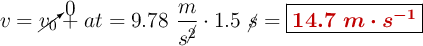
La velocidad que tendrá cuando hayan pasado 1.5 s será:

v = \cancelto{0}{v_0} + at = 9.78\ \frac{m}{s^\cancel{2}}}\cdot 1.5\ \cancel{s} = \fbox{\color[RGB]{192,0,0}{\bm{14.7\ m\cdot s^{-1}}}}