Aceleración de un sistema con dos fuerzas (4095)

, por F_y_Q

Dos fuerzas actúan sobre un objeto de 5.0 kg colocado sobre una superficie horizontal que no tiene fricción. Una fuerza de 30 N en la dirección (+X), y la otra de 35 N en la dirección (-X). ¿Cuál será la aceleración del objeto?

P.-S.

Al ser fuerzas de la misma dirección y sentido contrario, la resultante será la diferencia entre ambas:

F_R = (30 - 35)\ N = \color[RGB]{0,112,192}{\bf -5\ N}

El signo menos quiere decir que la fuerza resultante tiene un módulo de 5 N, en la dirección horizontal y el sentido hacia la izquierda. Para esa fuerza resultante la aceleración es:

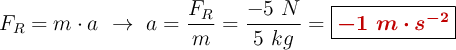
F_R = m\cdot a\ \to\ a = \frac{F_R}{m} = \frac{-5\ N}{5\ kg} = \fbox{\color[RGB]{192,0,0}{\bm{-1\ m\cdot s^{-2}}}}


La aceleración también está en la dirección horizontal y el sentido es hacia la izquierda.