Aceleración de un coche que se detiene en un tiempo dado (6779)

, por F_y_Q

Un coche que va a 50 km/h, aplica los frenos y logra detenerse en 5 s. Calcula:

a) ¿Qué desaceleración produjeron los frenos?

b) ¿Qué espacio necesitó para frenar?

c) ¿Es lo mismo ir a 50 km/h, frenar y detenerse en 5 s, que estar detenido, acelerar durante 5 s y llegar a 50 km/h?

P.-S.

En primer lugar debes convertir la velocidad a m/s para que las unidades sean homogéneas:

50\ \frac{km}{h}\cdot \frac{10^3\ m}{1\ km}\cdot \frac{1\ h}{3.6\cdot 10^3\ s} = \color[RGB]{0,112,192}{\bm{13.89\ \frac{m}{s}}}

a) La aceleración es el cociente entre la variación de la velocidad y el tiempo:

a = \frac{\cancelto{0}{v_f} - v_0}{t} = \frac{(0 - 13.89)\ \frac{m}{s}}{5\ s} = \fbox{\color[RGB]{192,0,0}{\bm{-2.78\ \frac{m}{s^2}}}}


Observa que el valor que obtienes es NEGATIVO, lo que significa que el coche está frenando.

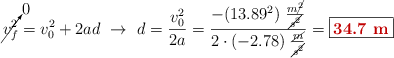
b) El espacio necesario para frenar lo puedes obtener si aplicas la ecuación:

\cancelto{0}{v_f^2} = v_0^2 + 2ad\ \to\ d = \frac{v_0^2}{2a} = \frac{-(13.89^2)\ \frac{m\cancel{^2}}{\cancel{s^2}}}{2\cdot (-2.78)\ \frac{\cancel{m}}{\cancel{s^2}}} = \fbox{\color[RGB]{192,0,0}{\bf 34.7\ m}}


c) El valor de la aceleración para el caso de partir del reposo y acelerar durante los 5 s sería el mismo pero POSITIVO. Decimos que el módulo y la dirección es la misma pero no así su sentido. Recuerda que la aceleración es una magnitud vectorial.