Aceleración de los bloques en una máquina de Atwood sabiendo el momento de inercia de la polea (7142)

, por F_y_Q

En una máquina de Atwood, dos bloques de masas 12 y 4 kg se desplazan con una aceleración desconocida conectados mediante una cuerda ideal a través de una polea sin fricción de masa 8 kg y radio 0.2 m. Calcula la aceleración de los bloques sabiendo que el momento de inercia de la polea es I = \textstyle{1\over 2}M\cdot R^2 .

P.-S.

Se debe cumplir que el producto del momento de inercia por la aceleración angular es igual al momento del par de fuerzas que provocan los bloques:

\color[RGB]{2,112,20}{\bm{T_1\cdot R - T_2\cdot R= I\cdot \alpha}}

Las tensiones de las cuerdas, escritas en función de los pesos y la aceleración del sistema, son:

\left m_1\cdot g - T_1 = m_1\cdot a\ \to\ {\color[RGB]{2,112,20}{\bm{T_1 = m_1(g - a)}}} \atop m_2\cdot g - T_2 = m_2\cdot a\ \to\ {\color[RGB]{2,112,20}{\bm{T_2 = m_2(g - a)}}}\ \right \}

La aceleración angular está relacionada con la aceleración del sistema por medio del radio de la polea:

\color[RGB]{2,112,20}{\bm{\alpha = \frac{a}{R}}}

Sustituyes en la ecuación de arriba y obtienes:

m_1\cdot \cancel{R} (g - a) - m_2\cdot \cancel{R} (g - a)= \frac{M\cdot \cancel{R^2}}{2}\cdot \frac{a}{\cancel{R}}

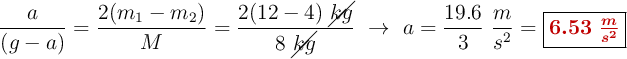
Despejas el valor de la aceleración y calculas:

\frac{a}{(g - a)} = \frac{2(m_1 - m_2)}{M} = \frac{2(12 - 4)\ \cancel{kg}}{8\ \cancel{kg}}\ \to\ a= \frac{19.6}{3}\ \frac{m}{s^2} = \fbox{\color[RGB]{192,0,0}{\bm{6.53\ \frac{m}{s^2}}}}