Aceleración con la que se mueve un contenedor empujado por dos niños (6263)

, por F_y_Q

a) Dos niños ejercen sendas fuerzas sobre un contenedor con la misma dirección y sentido; el chico de 130 N y la chica de 150 N. Si el contenedor tiene una masa de 100 kg. ¿Con qué aceleración se moverá el contenedor? ¿En qué dirección?

b) Si ahora empujan con la misma dirección pero sentido contrario, ¿cuál será la aceleración y el sentido del movimiento del contenedor?

P.-S.

a) Como ambos aplican la fuerza en la misma dirección y sentido, la fuerza resultante será la suma de ambas:

F_T = (130 + 150)\ N = \color[RGB]{0,112,192}{\bf 280\ N}

La aceleración la obtienes al aplicar la segunda ley de la dinámica:

F = m\cdot a\ \to\ a = \frac{F_T}{m} = \frac{280\ N}{100\ kg} = \fbox{\color[RGB]{192,0,0}{\bm{2.8\ \frac{m}{s^2}}}}


La dirección de la aceleración será la misma que la de la fuerza resultante de las fuerzas de los niños.

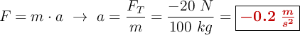
b) Si ahora empujan en sentido contrario, la fuerza resultante será la diferencia de ambas:

F_T = (130 - 150)\ N = \color[RGB]{0,112,192}{\bf -20\ N}

Vuelves a aplicar la segunda ley de la dinámica para calcular la aceleración:

F = m\cdot a\ \to\ a = \frac{F_T}{m} = \frac{-20\ N}{100\ kg} = \fbox{\color[RGB]{192,0,0}{\bm{-0.2\ \frac{m}{s^2}}}}


La dirección de la aceleración será la misma que la de la fuerza que aplica la niña, que es la fuerza de mayor módulo.