Aceleración angular de una esfera que rueda sin deslizar por un plano (7365)

, por F_y_Q

Una esfera homogénea de masa M y radio R rueda sin deslizar desde el reposo hacia abajo en un plano inclinado, como se muestra en la figura.

Halla:

a) La aceleración angular de la esfera.

b) El mínimo coeficiente de rozamiento para evitar el deslizamiento.

P.-S.

En primer lugar debes dibujar todas las fuerzas presentes en el esquema:


a) Aplicas las condiciones de traslación y rotación sobe la esfera que desciende. La traslación está relacionada con la aceleración del centro de masas y las fuerzas externas, mientras que la rotación lo está con el momento de inercia de la esfera y el momento de las fuerzas.

Condición de traslación.

\sum \vec{F}_{\text{ext}} = M\cdot \vec{a}_{\text{CM}}\ \to\ \left \{ \text{Eje\ X}:\ p_x - F_R = M\cdot a_{\text{CM}} \atop \text{Eje\ Y}:\ p_y - N = 0

Condición de rotación.

\sum \vec{M}_{\text{ext}} = I_{\text{CM}}\cdot \vec{\alpha}\ \to\ F_{\text{R}}\cdot R = I_{\text{CM}}\cdot \alpha

La aceleración angular la obtienes de la condición de rotación, teniendo en cuenta que el momento de inercia de una esfera homogénea es I = \textstyle{2\over 5}\cdot M\cdot R^2:

\color[RGB]{2,112,20}{\bm{\alpha = \frac{F_{\text{R}}\cdot R}{I_{\text{CM}}}}}

La fuerza de rozamiento la obtienes de la condición de traslación, en la dirección del Eje Y:

N = p_y = M\cdot g\cdot cos\ \theta\ \to\ F_{\text{R}} = \mu\cdot N\ \to\ \color[RGB]{2,112,20}{\bm{F_{\text{R}} = \mu\cdot M\cdot g\cdot cos\ \theta}}

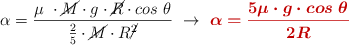
Sustituyes en la ecuación de la aceleración angular:

\alpha = \frac{\mu\ \cdot \cancel{M}\cdot g\cdot \cancel{R}\cdot cos\ \theta}{\frac{2}{5}\cdot \cancel{M}\cdot R\cancel{^2}}\ \to\ \color[RGB]{192,0,0}{\bm{\alpha = \frac{5\mu\cdot g\cdot cos\ \theta}{2R}}}


b) El coeficiente de rozamiento lo obtienes de la condición de traslación en el Eje X:

\cancel{M}\cdot g\cdot sen\ \theta - \mu\cdot \cancel{M}\cdot g\cdot cos\ \theta = \cancel{M}\cdot a_{\text{CM}}\ \to\ \color[RGB]{2,112,20}{\bm{a_{\text{CM}} = g(sen\ \theta - \mu\cdot cos\ \theta)}}

La condición para que la esfera ruede sin deslizar es:

a_{\text{CM}} = R\cdot \alpha = \cancel{R}\cdot \frac{5\mu\cdot g\cdot cos\ \theta}{2\ \cancel{R}}\ \to\ \color[RGB]{2,112,20}{\bm{a_{\text{CM}} = \frac{5\mu\cdot g\cdot cos\ \theta}{2}}}

Igualas las dos últimas ecuaciones y obtienes el valor del coeficiente de rozamiento:

\cancel{g}\ (sen\ \theta - \mu\cdot cos\ \theta} = \frac{5}{2}\cdot \mu\cdot \cancel{g}\cdot cos\ \theta\ \to\ sen\ \theta = \frac{7}{2}\cdot \mu\cdot cos\ \theta\ \to\ \fbox{\color[RGB]{192,0,0}{\bm{\mu = \frac{7}{2}\cdot tg\ \theta}}}


Una vez que conoces el coeficiente de rozamiento puedes reescribir el valor de la aceleración angular en función de los datos de masa y radio de la esfera y ángulo del plano, que es la solución que debes dar al apartado a):

\alpha = \frac{5\cdot g\cdot \cancel{cos\ \theta}}{2R}\cdot \frac{7}{2}\cdot \frac{sen\ \theta}{\cancel{cos\ \theta}}\ \to\ \fbox{\color[RGB]{192,0,0}{\bm{\alpha = \frac{35\cdot g\cdot sen\ \theta}{4R}}}}