A partir de ácido butanoico y metanol podemos sintetizar un éster presente en las manzanas. Escribe la reacción de esterificación y nombra el compuesto obtenido.
Ejercicios de formulación y nomenclatura, isomerías y reacciones de compuestos orgánicos para alumnos de 1.º de Bachillerato.
A partir de ácido butanoico y metanol podemos sintetizar un éster presente en las manzanas. Escribe la reacción de esterificación y nombra el compuesto obtenido.
Indica qué sustancia se forma al tratar acetona con tetrahidruro de litio y aluminio (
).
Escribe la reacción de la oxidación completa del etanol con dicromato de potasio en medio ácido.
Nombra y formula:
c) 4-bromo-2-pentenal
d) 2-cloro-5-metilhetanal
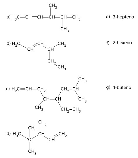
Formula y nombra los alquenos siguientes: