Dos esferas tiene el mismo volumen, pero al colocarlos en un recipiente con agua se observa que una flota y la otra se hunde. ¿Cuál será la razón de este comportamiento? Argumenta la respuesta.
Cuestiones y problemas sobre densidad, la «Teoría Cinético-Molecular» (TCM), los sistemas gaseosos y las leyes que los rigen.
Dos esferas tiene el mismo volumen, pero al colocarlos en un recipiente con agua se observa que una flota y la otra se hunde. ¿Cuál será la razón de este comportamiento? Argumenta la respuesta.
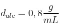
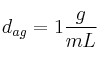
¿Cuántos mililitros más contienen 800 g de alcohol etílico, con densidad
, que 900 g de agua, cuya densidad es
.
Un bloque de madera tiene las siguientes dimensiones: 0.25 dm x 45 mm x 0.8 m. Calcula la masa del bloque de madera si su densidad es de 0.08 g/mL.
Un cuerpo tiene una masa de 1.58 g y desaloja a $$$ 7\ \text{cm}^3$$$ de agua. ¿Cuál es su densidad?
¿Cuál será el volumen final de 10 litros de aire a
contenidos en un globo, si se expone al sol y la temperatura llega a
?