A partir de las siguientes configuraciones electrónicas, responde:
X:
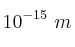
; Y:
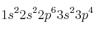
; Z: ![]()
a) ¿A qué periodo y grupo pertenecen?
b) ¿Cuáles son sus números atómicos?
c) ¿Cuáles serán sus estados de oxidación más estables?
d) ¿Cuáles de esos iones serían isoelectrónicos?
EjerciciosFyQ