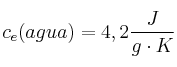
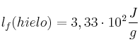
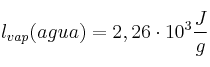
La evaporación del agua en la piel es un mecanismo importante para controlar la temperatura del cuerpo debido al valor tan elevado del calor latente de vaporización del agua (
). Calcula la rapidez con que pierde calor una persona que suda 2.2 kg de agua haciendo ejercicio físico durante una hora.
EjerciciosFyQ
;
;
;
;