¿Cuál es el factor de conversión entre a)
y
? ; b) ¿Y entre
y
?
Ejercicios y problemas sobre el método científico, magnitudes y unidades, notación científica, cifras significativas, la medida y errores, el trabajo en el laboratorio y medidas de seguridad.
¿Cuál es el factor de conversión entre a)
y
? ; b) ¿Y entre
y
?
Un galón de pintura (
) cubre un área de
.¿Cuál es el grosor de la pintura fresca sobre la pared?
Una millonaria ofrece 100 millones de euros, en monedas de 1 euro, con la condición de contarlos uno por uno. ¿Aceptarías su oferta? Supón que eres capaz de contar una moneda cada segundo, considera que necesitas aproximadamente 8 horas diarias para dormir, 3.5 horas diarias para comer y otras necesidades fisiológicas y 30 minutos para el aseo personal. ¿Con qué edad podrías empezar a disfrutar de esa fortuna si ahora tienes 14 años?
Expresa las siguientes medidas usando los prefijos correspondientes:
a) ![]()
b) ![]()
c) ![]()
d) ![]()
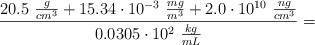
Realiza el siguiente cálculo con el número de cifras significativas correcto y con unidades del Sistema Internacional de Unidades:
![]()