EjerciciosFyQ

Ejercicios Resueltos, Situaciones de aprendizaje y VÍDEOS de Física y Química para Secundaria y Bachillerato

Relación entre molaridad y normalidad (2332)

Calcula la normalidad de las siguientes disoluciones: a) $$$ \textH_2\textNO$$$ (2 M); b) KOH (0.4 M); c) $$$ \textH_2\textSO_3$$$ (3 M); d) $$$ \textAl(OH)_3$$$ (1 M); e) NaCl (2 M).

Últimos artículos

  • Problema ácido-base 0013

    , por F_y_Q

    Una muestra de orina tiene un pH de 5,40.

    a) ¿Cuál es la concentración de iones hidronio?

    b) ¿Cuál es el valor del pOH?

  • Problema ácido-base 0012

    , por F_y_Q

    Calcula el número de iones hidróxido presentes en 200 mL de una muestra de orina humana de pH = 6,40.

    Dato: N_A = 6,022\cdot 10^{23}

  • Cuestión ácido-base (700)

    , por F_y_Q

    El pH de la sangre es 7.35, mientras que el de un determinado vino es 3.35. Con estos datos podemos afirmar que la concentración de iones hidronio en la sangre es:

    a) Cuatro veces menor que en el vino.

    b) 10^{7.35}\ M

    c) 10 000 veces mayor que en el vino.

    d) 10 000 veces menor que en el vino.

  • Cuestión ácido-base 0025

    , por F_y_Q

    Si el pH de una disolución es 4:

    a) ¿Se trata de una disolución ácida, básica o neutra?

    b) ¿Cuál es la concentración molar de iones hidronio y la de iones hidróxido en esa disolución?

  • Cuestión ácido-base 0024

    , por F_y_Q

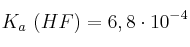
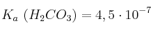
    Escribe la reacción entre el ácido sulfhídrico y el ión carbonato. Calcula la constante de equilibrio, K_C, de dicha reacción. Predice en qué sentido estará desplazado el equilibrio.

    Datos: K_a (H_2S) = 9,5\cdot 10^{-8} ; K_a (HCO_3^-) = 4,7\cdot 10^{-11}

Inscribirse en este sitio

Pediste intervenir en un foro reservado a las personas registradas.

Identificadores personales

Indica aquí tu nombre y dirección de correo electrónico. Se te enviará de inmediato por correo electrónico tu identificador personal.