pH y pOH de una disolución de ácido acético (2131)

, por F_y_Q

Calcula el pH y el pOH de una disolución de ácido acético (\ce{CH_3COOH}) de concentración 0.001 mol/L, sabiendo que su \ce{K_a} = 1.8\cdot 10^{-5}

P.-S.

A partir del valor de su constante de ionización, puedes calcular la concentración que tendrán los iones en el equilibrio:

\color[RGB]{2,112,20}{\textbf{\ce{CH3COOH + H2O <=> CH3COO^- + H3O^+}}}

La constante de acidez sigue la ecuación:

\color[RGB]{2,112,20}{\bm{K_a = \frac{[\ce{CH3COO^-}][\ce{H3O^+}]}{[\ce{CH3COOH}]}}}

Las concentraciones en el equilibrio, en función de la concentración inicial, tienen la forma:

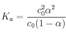
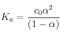
[\ce{CH3COOH}] = \color[RGB]{0,112,192}{\bm{c_0(1-\alpha)}}
[\ce{CH3COO^-}] = [\ce{H3O^+}] = \color[RGB]{0,112,192}{\bm{c_0\alpha}}

Sustituyes estas concentraciones en la ecuación de la constante de equilibrio y obtienes:

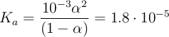
K_a = \frac{10^{-3}\alpha^2}{(1-\alpha)} = 1.8\cdot 10^{-5}

Puedes hacer dos cosas: resolver la ecuación de segundo grado o suponer que, dado que el valor de la constante es pequeño, el denominador es muy parecido a uno. Fïjate cómo se haría en cada caso.

Si resuelves la ecuación de segundo grado:

10^{-3}\alpha^2 + 1.8\cdot 10^{-5}\alpha - 1.8\cdot 10^{-5} = 0

Obtienes el valor \color[RGB]{0,112,192}{\bm{\alpha = 0.125}}. El otro valor que obtienes es negativo y carece de sentido químico.

Si haces la aproximación de que el denominador es uno:

\alpha = \sqrt{\frac{1.8\cdot 10^{-5}}{10^{-3}}} = \color[RGB]{0,112,192}{\bf 0.134}

Como la concentración de ácido es pequeña, no es buena idea hacer la aproximación y es preferible resolver la ecuación de segundo grado porque se comete un error de más del 7\ \%.

Tomando el primer valor del grado de disociación calculado, puedes calcular la concentración de oxonio en el equilibrio:

[\ce{H3O^+}]_{\ce{eq}} = 10^{-3}\ M\cdot 0.125 = \color[RGB]{0,112,192}{\bm{1.25\cdot 10^{-4}\ M}}

El cálculo del pH es inmediato:

pH = - log [\ce{H3O^+}] = -log\ 1.25\cdot 10^{-4} = \fbox{\color[RGB]{192,0,0}{\bf 3.9}}


Puedes calcular el pOH teniendo en cuenta la relación entre ambos:

{\color[RGB]{2,112,20}{\bf pH + pOH = 14}}\ \to\ pOH = 14 - pH = (14 - 3.9) = \fbox{\color[RGB]{192,0,0}{\bf 10.1}}