Volumen final de un gas al aumentar la presión (2836)

, por F_y_Q

Calcula el volumen final de un litro de gas cuando se triplica la presión a la que está sometido inicialmente, siendo la temperatura constante en todo momento.

P.-S.

Al ser la temperatura constante debemos aplicar la ecuación de Boyle-Mariotte: P_1\cdot V_1  = P_2\cdot V_2

Despejamos el valor del volumen final:

V_2  = \frac{P_1\cdot V_1}{P_2}

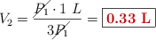
Sustituimos tomando los valores del enunciado pero teniendo en cuenta que P_2  = 3P_1

V_2 = \frac{\cancel{P_1}\cdot 1\ L}{3\cancel{P_1}} = \fbox{\color[RGB]{192,0,0}{\bf 0.33\ L}}