Volumen final al enfriar un gas a presión constante

, por F_y_Q

Un gas cuya temperatura es de 25 ^oC tiene un volumen de 2.5 L. Si reducimos su temperatura a 10 ^oC, ¿cuál será su nuevo volumen?

P.-S.

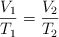
La ley de Charles es:

\frac{V_1}{T_1}  = \frac{V_2}{T_2}


Despejando y sustituyendo:

V_2 = \frac{V_1\cdot T_2}{T_1} = \frac{2.5\ L\cdot 283\ \cancel{K}}{298\ \cancel{K}} = \fbox{\color[RGB]{192,0,0}{\bf 2.37\ L}}



Recuerda que la temperatura tiene que estar expresada en escala absoluta.