Volumen final al diluir una disolución inicial 0001

, por F_y_Q

¿Hasta qué volumen deben diluirse 100 mL de una disolución de sal (NaCl) al 15\% en masa y de densidad 1,10\ g/cm^3 para obtener una disolución 0,9 M?

P.-S.

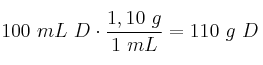
Los 100 mL de disolución suponen una masa de:
100\ mL\ D\cdot \frac{1,10\ g}{1\ mL} = 110\ g\ D
A partir del dato de la concentración en peso podemos saber qué masa de soluto contiene:
110\ g\ D\cdot \frac{15\ g\ NaCl}{100\ g\ D} = 16,5\ g\ NaCl
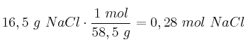
Esta masa de soluto supone, expresado en mol:
16,5\ g\ NaCl\cdot \frac{1\ mol}{58,5\ g} = 0,28\ mol\ NaCl
El volumen de la disolución para que su concentración fuera 0,9 M debería ser:

M = \frac{mol}{V}\ \to\ V = \frac{mol}{M} = \frac{0,28\ mol}{0,9\ mol/L} = 0,31\ L


Esto quiere decir que debería ser de 310 mL el volumen final de la disolución.