Volumen en el que disolver urea para obtener una presión osmótica dada (7144)

, por F_y_Q

En que volumen de solución hay que disolver 30 g de urea, cuyo peso molecular es 60 g/mol, para que su presión, a 25 ^oC , sea de 4 atm.

P.-S.

Para resolver este ejercicio, y dado que solo conocemos la presión osmótica, la temperatura y la masa de urea que tenemos que disolver, tienes que aplicar la ley de Van’t Hoff para disoluciones diluidas, que es similar a la ecuación de los gases ideales y es una aproximación a la presión osmótica:

\Pi = R\cdot T\cdot c\ \to\ \color[RGB]{2,112,20}{\bm{c = \frac{\Pi}{RT}}}

Calculas la concentración de la disolución de urea:

c = \frac{4\ \cancel{atm}}{0.082\ \frac{\cancel{atm}\cdot L}{\cancel{K}\cdot mol}\cdot 298\ \cancel{K}} = \color[RGB]{0,112,192}{\bm{0.164\ \frac{mol}{L}}}

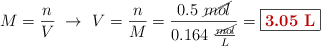
Como la masa que disuelves es la mitad que la masa molar, es decir, medio mol, solo tienes que despejar y calcular el volumen de la expresión para la molaridad:

M = \frac{n}{V}\ \to\ V = \frac{n}{M} = \frac{0.5\ \cancel{mol}}{0.164\ \frac{\cancel{mol}}{L}} = \fbox{\color[RGB]{192,0,0}{\bf 3.05\ L}}