Volumen de una masa de mercurio, conocida su densidad (4553)

, por F_y_Q

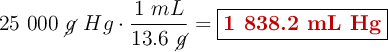
La densidad del mercurio es 13.6 g/mL. ¿Qué volumen ocupan 25 000 g de mercurio?

P.-S.

A partir de la masa y la densidad del mercurio, solo tienes que usar el dato de la densidad como un factor de conversión:

25\ 000\ \cancel{g}\ Hg\cdot \frac{1\ mL}{13.6\ \cancel{g}} = \fbox{\color[RGB]{192,0,0}{\textbf{1 838.2\ mL\ Hg}}}


Descarga el enunciado y la resolución del problema en formato EDICO si lo necesitas.