Volumen de una disolución de HCl necesario para preparar otra 0001

, por F_y_Q

¿Qué volumen de ácido clorhídrico, de densidad 1,2 g/mL y con una pureza del 37\%, se necesita para preparar 3 750 mL de disolución 0,25 M?

P.-S.

Primero debemos saber qué masa de HCl necesitamos para hacer nuestra disolución:
3\ 750\ mL\cdot \frac{1\ L}{10^3\ mL}\cdot \frac{0,25\ mol\ HCl}{1\ L}\cdot \frac{(1 + 35,5)\ g}{1\ mol} = 34,2\ g\ HCl
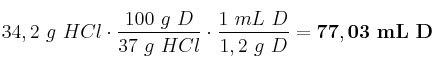
Ahora necesitamos convertir esa masa de HCl en volumen de la disolución con la que contamos:

34,2\ g\ HCl\cdot \frac{100\ g\ D}{37\ g\ HCl}\cdot \frac{1\ mL\ D}{1,2\ g\ D} = \bf 77,03\ mL\ D