Volumen de disolución de nitrato de plata para valorar una cantidad de cloruro de magnesio

, por F_y_Q

¿Cuántos mL de de solución de nitrato de plata 0.120 N (AgNO_3) se requieren para titular directamente el cloruro en una solución de 0.220 g de MgCl_2\cdot 2H_2O. Escribe la reacción de valoración.

Masas atómicas: Mg = 24.3 ; Ag = 107.8 ; Cl = 35.5 ; N = 14 ; O = 16.

P.-S.

La reacción que tiene lugar en la valoración es:

\bf 2AgNO_3(ac) + MgCl_2(ac)\ \to\ 2AgCl(s) + Mg(NO_3)_2(ac)


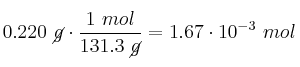
Vamos a determinar los moles de la sal de magnesio que suponen los 0.220 g. Para ello debemos conocer la masa molecular de la sustancia:
MgCl_2\cdot 2H_2O:\ 24.3 + 2\cdot 35.5 + 2\cdot 18 = 131.3\ \textstyle{g\over mol}
Los moles de la sal son:
0.220\ \cancel{g}\cdot \frac{1\ mol}{131.3\ \cancel{g}} = 1.67\cdot 10^{-3}\ mol
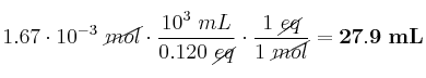
Cada mol del cloruro de magnesio aporta dos moles de cloruro al disociarse por lo que la estequiometría entre los aniones Cl^- y los cationes Ag^+ es 1:1. Necesitaremos 1.67\cdot 10^{-3}\ mol de AgNO_3.
Solo nos queda calcular el volumen. Al ser una sal monocatiónica coinciden los equivalentes con los moles:

1.67\cdot 10^{-3}\ \cancel{mol}\cdot \frac{10^3\ mL}{0.120\ \cancel{eq}}\cdot \frac{1\ \cancel{eq}}{1\ \cancel{mol}} = \bf 27.9\ mL