Volumen de disolución comercial de ácido y de agua para preparar una disolución más diluida (6155)

, por F_y_Q

Se tiene ácido clorhídrico comercial de 1.2\ \textstyle {g\over cm^3} de densidad y del 35 \% en masa. Se quieren preparar a partir de él 200 \ cm^3 de disolución de densidad 1.1\ \textstyle {g\over cm^3} al 20 \% en masa. ¿Qué volumen de la disolución comercial y de agua se necesitan para obtener la segunda disolución?

P.-S.

Primero calculo la masa de soluto (HCl) que necesito para hacer la disolución final del problema:

200\ \cancel{cm^3}\ \cancel{D_f}\cdot \frac{1.1\ g}{1\ \cancel{cm^3}}\cdot \frac{20\ \cancel{g}\ HCl}{100\ \cancel{g\ D_f}}  = 44\ g\ HCl

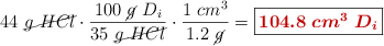
Ahora debo calcular qué volumen de disolución inicial contiene la masa de soluto que requiero para la disolución final:

44\ \cancel{g\ HCl}\cdot \frac{100\ \cancel{g}\ D_i}{35\ \cancel{g\ HCl}}\cdot \frac{1\ cm^3}{1.2\ \cancel{g}} = \fbox{\color[RGB]{192,0,0}{\bm{104.8\ cm^3\ D_i}}}


Suponiendo que los volúmenes son aditivos, el volumen de agua será el que resta hasta los 200 \ cm^3 de la disolución final:

V_{H_2O} = (200 - 104.8)\ cm^3 = \fbox{\color[RGB]{192,0,0}{\bm{95.2\ g\ H_2O}}}