Volumen de ácido nítrico concentrado para hacer una disolución (6130)

, por F_y_Q

Se dispone de una solución de ácido nítrico concentrado al 36 \% (m/m) y densidad de 1.12\ \textstyle{g\over  mL}:

a) Calcula el volumen de disolución concentrada que se debe medir si se desea preparar 1.5 L de una disolución 0.125 M de ácido nítrico.

b) Calcula el volumen de agua que se debe adicionar si se desea ajustar la disolución preparada en el apartado anterior a una concentración 0.100 M.

P.-S.

a) Usamos factores de conversión para hacer el cálculo. Empezamos por los moles que necesitamos para hacer la disolución y llegamos al volmuen de la disolución concentrada que contiene esos moles:

0.125\ \frac{\cancel{mol}\ \cancel{HNO_3}}{\cancel{L}}\cdot 1.5\ \cancel{L}\cdot \frac{63\ g}{1\ \cancel{mol}}\cdot \frac{100\ \cancel{g\ D}}{36\ \cancel{g\ HNO_3}}\cdot \frac{1\ mL\ D}{1.12\ \cancel{g\ D}} = \fbox{\color[RGB]{192,0,0}{\bf 29.3\ mL\ D}}


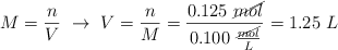
b) Calculamos el volumen final de disolución para que la concentración fuera la indicada:

M = \frac{n}{V}\ \to\ V  = \frac{n}{M} = \frac{0.125\ \cancel{mol}}{0.100\ \frac{\cancel{mol}}{L}} = 1.25\ L

Como el volumen de disolución concentrada necesario es 29.3 mL, el agua a añadir es:

V_{H_2O} = (1.25 - 29.3\cdot 10^{-3})\ L = \fbox{\color[RGB]{192,0,0}{\bf 1.22\ L}}