Volume occupied by a known mass of mercury

, por F_y_Q

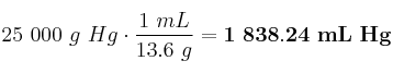
The density of mercury is 13.6 g/mL. What will be the volume of 25 000 g of mercury?

P.-S.

Using the density datum as a conversion factor, you can obtain the volume if you multiply the mass of mercury by the density:

25\ 000\ g\ Hg\cdot \frac{1\ mL}{13.6\ g} = \bf 1\ 838.24\ mL\ Hg