Verdadero o falso sobre las leyes de los gases (6397)

, por F_y_Q

¿Son ciertas las siguientes afirmaciones?

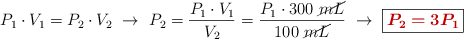
a) Cuando un gas que ocupa un volumen de 300 mL se comprime hasta un volumen de 100 mL sin que varíe su temperatura, se triplica la presión que ejerce sobre las paredes del recipiente.

b) Cuando a un gas que se encuentra bajo una presión de 1 atm se lo somete a una presión de 2 atm, sin que varíe su volumen, su temperatura se reduce a la mitad.

P.-S.

a) Si la temperatura es constante, la ley de los gases que debes aplicar es la ley de Boyle:

P_1\cdot V_1 = P_2\cdot V_2\ \to\ P_2 = \frac{P_1\cdot V_1}{V_2} = \frac{P_1\cdot 300\ \cancel{mL}}{100\ \cancel{mL}}\ \to\ \fbox{\color[RGB]{192,0,0}{\bm{P_2 = 3P_1}}}


La afirmación es VERDADERA.

b) La ley que debes considerar, al ser el volumen constante, es la ley de Gay-Lussac:

\frac{P_1}{T_1} = \frac{P_2}{T_2}\ \to\ T_2 = \frac{P_2\cdot T_1}{P_1} = \frac{2\ \cancel{atm}\cdot T_1}{1\ \cancel{atm}}\ \to\ \fbox{\color[RGB]{192,0,0}{\bm{T_2 = 2T_1}}}


La afirmación es FALSA.