Velocidad orbital y distancia al núcleo de electrones en átomos hidrogenoides (7862)

, por F_y_Q

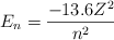
De acuerdo con el modelo atómico de Bohr, la energía de los diferentes niveles electrónicos de los átomos hidrogenoides, que son aquellos que poseen un solo electrón, como por ejemplo el \ce{He+} o el \ce{Li^{2+}}, viene dada, en eV, por:

E_n = \frac{-13.6Z^2}{n^2}

donde Z representa el número de protones del núcleo.

Supón las especies hidrogenoides \ce{He+} y \ce{Be^{3+}}, ambas se encuentran en su estado electrónico fundamental. Según el modelo de Bohr:

a) ¿En cuál de ellas giraría el electrón más rápidamente?

b) ¿Cuál sería la relación entre las velocidades de ambos electrones?

c) ¿Cuál de los dos electrones describirá órbitas más próximas al núcleo?

P.-S.

Ejercicio aparecido en la Olimpiada de Química de Murcia.

a) En el modelo atómico de Bohr los electrones han de girar de manera que la fuerza centrípeta sea igual a la fuerza electrostática:

\frac{m\cdot v^2}{\cancel{R}} = K\cdot \frac{Z\cdot e^2}{R\cancel{^2}}\ \to\ \color[RGB]{2,112,20}{\bm{m\cdot v^2 = K\cdot \frac{Z\cdot e^2}{R}\ [Ec.\ 1]}}

Observa que esta expresión depende del radio de la órbita, algo que desconoces. La otra condición que tiene que cumplir el electrón es que su momento angular sea igual un múltiplo de \hbar:

\color[RGB]{2,112,20}{\bm{mvR = n\cdot \frac{h}{2\pi}\ [Ec.\ 2]}}

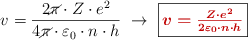
Si despejas m en esta ecuación y sustituyes en la anterior puedes despejar el valor de la velocidad de giro del electrón:

\frac{n\cdot h}{2\pi\cdot \cancel{v}\cdot \cancel{R}}\cdot v\cancel{^2} = K\cdot \frac{Z\cdot e^2}{\cancel{R}}\ \to\ \color[RGB]{2,112,20}{\bm{v = \frac{2\pi\cdot K\cdot Z\cdot e^2}{n\cdot h}}}

Puedes escribir la constante K en función de la constante dieléctrica del medio y simplificar un poco más la expresión:

v = \frac{2\cancel{\pi}\cdot Z\cdot e^2}{4\cancel{\pi}\cdot \varepsilon_0\cdot n\cdot h}\ \to\ \fbox{\color[RGB]{192,0,0}{\bm{v = \frac{Z\cdot e^2}{2\varepsilon_0\cdot n\cdot h}}}}


La velocidad es directamente proporcional al número atómico, es decir, será mayor cuanto mayor sea este, por lo tanto, el electrón gira más rápido en el caso del berilio que del helio.

b) El número atómico del berilio es 4, mientras que el del helio es 2. Como ambos están en el estado fundamental, el resto de valores de la ecuación es igual y puedes concluir que la velocidad será el doble para el electrón del berilio que el del helio.

c) Ahora despejas el valor del radio de la órbita en la [Ec. 1] y la velocidad en la [Ec. 2]:

\left R = \dfrac{K\cdot Z\cdot e^2}{m\cdot v^2} \atop v = \dfrac{n\cdot h}{2\pi\cdot m\cdot R} \right \}

Sustituyes la segunda ecuación en la primera y despejas el valor del radio de la órbita, de manera análoga a lo hecho en el apartado a):

\fbox{\color[RGB]{192,0,0}{\bm{R = \frac{n^2\cdot h^2\cdot \varepsilon_0}{\pi\cdot m\cdot Z\cdot e^2}}}}


Como el número atómico el berilio es mayor que el del helio, las órbitas más cercanas al núcleo serán las del berilio.