Velocidad, frecuencia angular y periodo de un protón que se mueve por acción de un campo magnético (7125)

, por F_y_Q

Un protón se mueve en una órbita circular con un radio de 12 cm cuando se coloca en un campo magnético uniforme de magnitud 0.3\ \textstyle{Wb\over m^2} , dirigido perpendicularmente a la velocidad del protón. Determina la velocidad del protón, su frecuencia angular y su periodo de revolución.

Datos: m_p = 1.67\cdot 10^{-27}\ kg ; q_p = 1.6\cdot 10^{-19}\ C

P.-S.

La fuerza magnética que el campo magnético ejerce sobre el protón es:

F_M = q_p\cdot \vec v\times \vec B = q_p\cdot v\cdot B\cdot \cancelto{1}{sen\ \alpha}\ \to\ \color[RGB]{2,112,20}{\bm{F_M = q_p\cdot v\cdot B}}

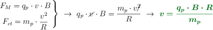
Si supones que el movimiento del protón es circular y uniforme, la fuerza magnética ha de ser igual a la fuerza centrípeta. Si las igualas y despejas el valor de la velocidad obtienes:

\left F_M = q_p\cdot v\cdot B \atop F_{ct} = m_p\cdot \dfrac{v^2}{R} \right \}\ \to\ q_p\cdot \cancel{v}\cdot B = \frac{m_p\cdot v\cancel{^2}}{R}\ \to\ \color[RGB]{2,112,20}{\bm{v = \frac{q_p\cdot B\cdot R}{m_p}}}

Sustituyes y calculas el valor de la velocidad:

v = \frac{1.6\cdot 10^{-19}\ C\cdot 0.3\ \frac{Wb}{m\cancel{^2}}\cdot 0.12\ \cancel{m}}{1.67\cdot 10^{-27}\ kg} = \fbox{\color[RGB]{192,0,0}{\bm{3.5\cdot 10^6\ \frac{m}{s}}}}


La frecuencia angular se relaciona con la velocidad lineal por medio del radio:

v = \omega\cdot R\ \to\ \omega = \frac{v}{R} = \frac{3.5\cdot 10^6\ \frac{\cancel{m}}{s}}{0.12\ \cancel{m}} = \fbox{\color[RGB]{192,0,0}{\bm{2.9\cdot 10^7\ s^{-1}}}}


El periodo de revolución es la inversa de la frecuencia angular:

T = \frac{1}{\omega} = \frac{1}{2.9\cdot 10^7\ s^{-1}} = \fbox{\color[RGB]{192,0,0}{\bm{3.4\cdot 10^{-8}\ s}}}