Velocidad final de una pelota que cae sin rozamiento (4594)

, por F_y_Q

Desde la azotea de un edificio de 6 pisos, sabiendo que cada piso mide 3 m, cae una pelota. ¿Cuál será la velocidad cuando llega al techo de primer piso? ¿Cuál será la velocidad cuando toca el suelo?

P.-S.

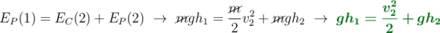
Para hacer el ejercicio puedes aplicar el principio de conservación de la energía. Como no hay rozamiento, la energía mecánica ha de conservarse. Cuando está en la azotea solo tiene energía potencial gravitatoria, por estar en reposo. Cuando alcanza el techo del primer piso tendrá energía cinética y potencial:

E_P(1) = E_C(2) + E_P(2)\ \to\ \cancel{m}gh_1 = \frac{\cancel{m}}{2}v_2^2 + \cancel{m}gh_2\ \to\ \color[RGB]{2,112,20}{\bm{gh_1 = \frac{v_2^2}{2} + gh_2}}

Sabes que la altura inicial es 18 m y la altura en el primer piso será de 3 m, por lo que puedes despejar el valor de la velocidad y calcularla:

{\color[RGB]{2,112,20}{\bm{v_2 = \sqrt{2g(h_1 - h_2)}}}} = \sqrt{2\cdot \9.8\ \frac{m}{s^2}\cdot 15\ m} = \fbox{\color[RGB]{192,0,0}{\bm{17.2\ m\cdot s^{-1}}}}


La velocidad cuando llegue al suelo la obtienes con la ecuación anterior, pero considerando que h_2 es cero:

v_f = \sqrt{2\cdot 9.8\ \frac{m}{s^2}\cdot 18\ m} = \fbox{\color[RGB]{192,0,0}{\bm{18.8\ m\cdot s^{-1}}}}