Velocidad final de huevo que cae libremente 0001

, por F_y_Q

¿Cuál es la velocidad final de un huevo que se deja caer libremente desde una altura de 2,5 m? Considera despreciable el rozamiento con el aire y toma como valor de la aceleración de la gravedad g = 9,8\ m\cdot s^{-2}

P.-S.

Dado que la energía se tiene que conservar, la energía cinética al final de la caída ha de ser igual a la energía potencial que tiene el huevo cuando está en el punto de partida:

mgh = \frac{1}{2}mv^2\ \to\ v = \sqrt{2gh} = \sqrt{2\cdot 9,8\frac{m}{s^2}\cdot 2,5\ m} = \bf 7\frac{m}{s}


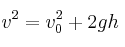
A partir de la expresión cinemática de una caída libre también se puede hacer el problema. En este caso la ecuación que relaciona la velocidad con la distancia que recorre el huevo al caer es:
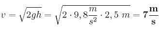
v^2 = v_0^2 + 2gh. Si tenemos en cuenta que la velocidad inicial es nula y despejamos el valor de la velocidad final:

v = \sqrt{2gh} = \sqrt{2\cdot 9,8\frac{m}{s^2}\cdot 2,5\ m} = \bf 7\frac{m}{s}