Velocidad de una persona que camina varias cuadras (4682)

, por F_y_Q

Si caminas 30 cuadras de 150 m cada una y tardas 1h y 30 min en hacerlo, ¿cuál es la velocidad media que has alcanzado, expresada en km/h?

P.-S.

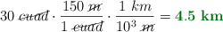
En primer lugar hay que convertir la distancia que caminas en kilómetros:

30\ \cancel{cuad}\cdot \frac{150\ \cancel{m}}{1\ \cancel{cuad}}\cdot \frac{1\ km}{10^3\ \cancel{m}} = \color[RGB]{2,112,20}{\bf 4.5\ km}

Tu velocidad media será:

v = \frac{d}{t} = \frac{4.5\ km}{1.5\ h} = \fbox{\color[RGB]{192,0,0}{\bm{3\ \frac{km}{h}}}}