Hora de llegada en un viaje familiar con paradas (7007)

, por F_y_Q

Una familia sale de casa a las 07:30 h para hacer un viaje de 620 km. Tienen pensado hacer dos paradas; una de media hora para desayunar y repostar y la otra de una hora para comer. Si la velocidad media a la que circulan es de 92 km/h, ¿a qué hora llegarán a su destino?

P.-S.

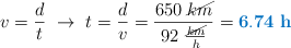
A partir de la velocidad media puedes calcular el tiempo que tardarán en cubrir la distancia del viaje:

v = \frac{d}{t}\ \to\ t = \frac{d}{v} = \frac{650\ \cancel{km}}{92\ \frac{\cancel{km}}{h}} = \color[RGB]{0,112,192}{\bf 6.74\ h}

Es necesario saber los minutos a los que equivale ese 0.74 h:

0.74\ \cancel{h}\cdot \frac{60\ min}{1\ \cancel{h}} = \color[RGB]{0,112,192}{\bf 44\ min}

El viaje en sí supondrá 6 horas y 44 minutos pero debes tener en cuenta las paradas que tienen programadas, por lo que el tiempo total del viaje será de 8 horas y 14 minutos. La hora de llegada será \fbox{\color[RGB]{192,0,0}{\bf 15:44\ min}} .