Velocidad de un vehículo que pasa por dos peajes (4855)

, por F_y_Q

Un auto que viaja por una ruta pasa por dos peajes y en los comprobantes figuran los siguientes datos: peaje 1 (km: 6 798 / Hora: 17:48 h), peaje 2 (km: 7 022 / Hora: 19:26 h). Calcula:

a) La velocidad media desarrollada por el vehículo.

b) El tiempo que le lleva recorrer ese tramo de la ruta.

c) Si al regresar, lo hace a una velocidad de 120 km/h, ¿cuántos minutos tardará en cubrir la distancia entre peajes?

P.-S.

Para poder calcular el apartado a) es necesario conocer el tiempo que tarda el auto en recorrer el tramo entre peajes, que es el apartado b).

b) El tiempo es la diferencia entre las horas que marcan los comprobantes:

12 min hasta las 18:00 h + 1 h hasta las 19:00 h + 26 min hasta las 19:26 h. Si sumamos estas cantidades y la expresamos en horas, el tiempo es:

1\ h + 38\ \cancel{min}\cdot \frac{1\ h}{60\ \cancel{min}} = \fbox{\color[RGB]{192,0,0}{\bf 1.63\ h}}


a) La velocidad media será el cociente entre la distancia que hay entre los dos peajes y el tiempo que acabamos de calcular:

v_m = \frac{d}{t} = \frac{(7\ 022 - 6\ 798)\ km}{1.63\ h} = \fbox{\color[RGB]{192,0,0}{\bm{137.4\ \frac{km}{h}}}}


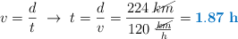
c) Ahora debemos determinar el tiempo que tendría que tardar si el conductor regresa cumpliendo con las normas de tráfico y llevando una velocidad de 120 km/h:

v = \frac{d}{t}\ \to\ t = \frac{d}{v} = \frac{224\ \cancel{km}}{120\ \frac{\cancel{km}}{h}} = \color[RGB]{0,112,192}{\bf 1.87\ h}

Debemos convertir el dato en minutos porque así lo requiere el enunciado:

1.87\ \cancel{h}\cdot \frac{60\ min}{1\ \cancel{h}} = \fbox{\color[RGB]{192,0,0}{\bf 112.2\ min}}