Velocidad de un esquiador tras chocar otro contra él (444)

, por F_y_Q

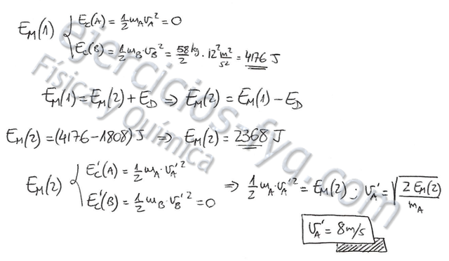
Un esquiador de 74 kg de masa está distraído al final de una pista de esquí mirando el paisaje cuando otro esquiador de 58 kg que baja a una velocidad de 12 m/s choca contra él. Suponiendo que se disipan 1 808 J en el choque, ¿con qué velocidad se moverá el esquiador despistado inmediatamente después del choque?

P.-S.

\fbox{\color[RGB]{192,0,0}{\bm{v = 8\ \frac{m}{s}}}}