Velocidad de un caracol expresada en km/h (6813)

, por F_y_Q

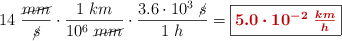
El caracol de jardín se desplaza a una velocidad de 14 mm/s. Calcula su velocidad en km/h y expresa el resultado en notación científica, usando las cifras significativas correctas.

P.-S.

El dato que facilita el enunciado tiene dos cifras significativas por lo que la solución debe tener las mismas cifras significativas. Si aplicas factores de conversión para hacer el cambio de unidades obtienes:

14\ \frac{\cancel{mm}}{\cancel{s}}\cdot \frac{1\ km}{10^6\ \cancel{mm}}\cdot \frac{3.6\cdot 10^3\ \cancel{s}}{1\ h} = \fbox{\color[RGB]{192,0,0}{\bm{5.0\cdot 10^{-2}\ \frac{km}{h}}}}


Descarga el enunciado y la resolución del problema en formato EDICO si lo necesitas.