Velocidad de un avión en distintas unidades y distancia que recorre en un tiempo (6452)

, por F_y_Q

Un avión es capaz de recorrer 15 km en un minuto en un tramo de su viaje:

a) ¿Cuál es su velocidad expresada en m/s y en km/h?

b) ¿Qué distancia recorre si transcurren 2.3 h hasta que debe variar su velocidad?

P.-S.

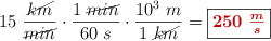
a) La velocidad es el cociente entre la distancia y el tiempo. Usando factores de conversión puedes expresarla en las unidades pedidas:

15\ \frac{km}{\cancel{min}}\cdot \frac{60\ \cancel{min}}{1\ h} = \fbox{\color[RGB]{192,0,0}{\bm{900\ \frac{km}{h}}}}


15\ \frac{\cancel{km}}{\cancel{min}}\cdot \frac{1\ \cancel{min}}{60\ s}\cdot \frac{10^3\ m}{1\ \cancel{km}} = \fbox{\color[RGB]{192,0,0}{\bm{250\ \frac{m}{s}}}}


b) La distancia que recorre es:

v = \frac{d}{t}\ \to\ d = v\cdot t = 900\ \frac{km}{\cancel{h}}\cdot 2.3\ \cancel{h} = \fbox{\color[RGB]{192,0,0}{\bf 2\ 070\ km}}}