Velocidad de los fotoelectrones al irradiar una superficie de cinc

, por F_y_Q

En un experimento, un estudiante de biologia encontró que es necesaria una longitud de onda de 352 nm para desprender los electrones de una superficie de cinc metálico. Calcula la rapidez de un electrón expulsado cuando se utilizó una luz con una longitud de onda de 300 nm.

Dato: m_{\ce{e^-}} = 9.12\cdot 10^{-31}\ kg

P.-S.

Los valores de energía incidente y energía umbral se pueden escribir en función de las longitudes de onda dadas:

E_i = E_u + E_C\ \to\ \frac{h\cdot c}{\lambda_i} = \frac{h\cdot c}{\lambda_u} + \frac{m}{2}\cdot v^2

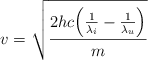
Si despejas el valor de la velocidad del electrón:

v = \sqrt{\frac{2hc\Big(\frac{1}{\lambda_i} - \frac{1}{\lambda_u}\Big)}{m}}

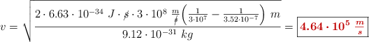
Solo te queda sustituir y calcular:

v = \sqrt{\frac{2\cdot 6.63\cdot 10^{-34}\ J\cdot \cancel{s}\cdot 3\cdot 10^8\ \frac{m}{\cancel{s}}\Big(\frac{1}{3\cdot 10^{7}} - \frac{1}{3.52\cdot 10^{-7}}\Big)\ m}{9.12\cdot 10^{-31}\ kg}} = \fbox{\color[RGB]{192,0,0}{\bm{4.64\cdot 10^5\ \frac{m}{s}}}}