Velocidad de lanzamiento y altura máxima 0001

, por F_y_Q

Se lanza un cuerpo hacia arriba verticalmente con una energía de 2 500 J y sabiendo que la masa del cuerpo es de 1,5 kg, calcula la altura alcanzada y la velocidad de lanzamiento.

P.-S.

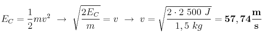
La velocidad del lanzamiento se puede obtener a partir de la energía cinética con la que se lanza:

E_C = \frac{1}{2}mv^2\ \to\ \sqrt{\frac{2E_C}{m}} = v\ \to\ v = \sqrt{\frac{2\cdot 2\ 500\ J}{1,5\ kg}} = \bf 57,74\frac{m}{s}


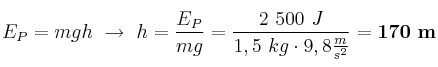
Cuando alcance la máxima altura su velocidad será cero, por lo tanto su energía será sólo energía potencial:

E_P = mgh\ \to\ h = \frac{E_P}{mg} = \frac{2\ 500\ J}{1,5\ kg\cdot 9,8\frac{m}{s^2}} = \bf 170\ m