Velocidad asociada a un valor de energía cinética (2934)

, por F_y_Q

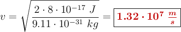
Un electrón cuya masa es 9.11\cdot 10^{-31}\ kg tiene una energía cinética de 8\cdot  10^{-17}\ J. ¿Cuál es el valor de su velocidad?

P.-S.

A partir de la expresión para la energía cinética E_C  = \frac{1}{2}mv^2 despejas el valor de la velocidad:

2E_C  = m\cdot v^2\ \to\ \sqrt{\frac{2E_C}{m}} = v


Ahora solo te queda sustituir los valores:

v = \sqrt{\frac{2\cdot 8\cdot 10^{-17}\ J}{9.11\cdot 10^{-31}\ kg}} = \fbox{\color[RGB]{192,0,0}{\bm{1.32\cdot 10^7\ \frac{m}{s}}}}